No escribimos libros: los encontramos
I. La medida de una página
Antes de cualquier libro, antes incluso de cualquier frase, hay una decisión más elemental y más silenciosa: la forma de la página.
No el contenido. No las palabras. La forma.
En el caso de la Biblia de Gutenberg —ese artefacto inaugural que solemos invocar como origen de la imprenta— lo decisivo no es solamente que haya sido impresa con tipos móviles. Lo decisivo es que su página está rigurosamente medida. Dos columnas. Cuarenta y dos líneas. Una caja tipográfica estable, repetida, casi inmutable, a lo largo de cientos de hojas.
Esa regularidad no es un detalle técnico. Es una declaración.
Cada página, en su aparente sobriedad, es una superficie completamente determinada de antemano. Un rectángulo dividido con precisión, donde cada línea ocupa su lugar y cada carácter encuentra un espacio asignado. No hay allí nada dejado al azar en términos de disposición. Incluso la variación —esas primeras páginas de 40 o 41 líneas antes de estabilizarse en 42— no es una excepción sino una transición hacia un orden más estricto.
Si uno observa esa página no como lector sino como constructor, lo que aparece no es un texto sino una estructura de posiciones. Una retícula. Un campo. Un sistema.
La página, en ese sentido, no es todavía lenguaje. Es la condición de posibilidad del lenguaje.
Es tentador pensar que un libro comienza con una idea, con una historia, con una voz. Pero eso ocurre después. Mucho después. Antes de cualquier contenido hay una restricción: cuánto cabe en una página.
Cuántas líneas. Cuántos caracteres por línea. Cómo se distribuyen. Dónde empieza y dónde termina el espacio disponible. Esas decisiones, que podrían parecer meramente técnicas, son en realidad ontológicas: definen el universo dentro del cual cualquier texto puede existir.
La página de Gutenberg, con sus dos columnas y sus cuarenta y dos líneas, no es solo una solución estética o económica. Es una máquina de orden. Una forma que organiza el lenguaje antes de que el lenguaje aparezca.
Si se abstrae esa página de su contenido —si se borran las palabras, si se olvidan las frases— lo que queda es una superficie perfectamente articulada en unidades discretas: líneas, columnas, espacios. Cada una de esas unidades es un lugar donde algo podría ser inscrito.
Ese “podría” es crucial. Porque lo que la página define no es lo que dice, sino todo lo que podría decir.
Imaginemos, entonces, esa página vacía. No en blanco, sino estructurada. Sus dos columnas trazadas. Sus cuarenta y dos líneas listas. Cada línea con un ancho determinado, capaz de alojar una cantidad fija de caracteres.
Lo que tenemos frente a nosotros no es un vacío: es un sistema finito de posiciones.
Supongamos —para hacer explícito lo que en la práctica tipográfica se da por sentado— que cada línea admite un número fijo de caracteres. No importa aquí si son 30, 36 o 40. Lo importante es que ese número existe. Que hay un límite.
Entonces, cada página puede describirse como una colección ordenada de posiciones:
- posición 1, línea 1, columna izquierda
- posición 2, línea 1, columna izquierda
- …
- hasta completar todas las líneas de ambas columnas
El contenido no es otra cosa que la ocupación de esas posiciones.
Cada carácter que aparece en una página no es una entidad flotante, sino un evento: la ocupación de un lugar previamente definido.
En este punto, algo se desplaza. Porque escribir deja de ser, exclusivamente, el acto de producir significado, y se convierte también en el acto de llenar un espacio finito con símbolos.
Esa transformación —de la escritura como expresión a la escritura como ocupación de posiciones— tiene consecuencias profundas. Si la página tiene un número fijo de posiciones, entonces cualquier texto que aparezca en ella debe ajustarse a esa medida. No puede excederla. No puede escapar de ella. Toda variación, toda creatividad, toda desviación ocurre dentro de ese marco.
La libertad del lenguaje se ejerce en un espacio restringido. Y, sin embargo, es precisamente esa restricción la que hace posible la proliferación. Porque una vez que la página está definida como un conjunto finito de posiciones, el problema de la escritura puede formularse de otra manera:
¿Qué puede colocarse en cada una de esas posiciones? La respuesta inmediata parece trivial: letras, espacios, signos. Pero esa trivialidad es engañosa. Porque cada posición, al poder ser ocupada por uno de varios símbolos posibles, se convierte en un punto de elección.
Y una página entera, entonces, se convierte en una secuencia de elecciones. No una secuencia libre, sino una secuencia estructurada por la forma de la página.
Volvamos a la Biblia de Gutenberg, pero esta vez no como objeto histórico, sino como sistema. Dos columnas. Cuarenta y dos líneas. Un número fijo de caracteres por línea. Eso implica que cada página tiene un número total de posiciones determinado de antemano. No importa el contenido: ese número no cambia.
Cada página es, en esencia, un arreglo de esa cantidad de espacios. Y cada uno de esos espacios puede ser ocupado por un símbolo. En ese momento, la página deja de ser un soporte y se convierte en una máquina combinatoria. Una máquina extremadamente simple, pero de consecuencias vertiginosas.
Porque si cada posición admite varias posibilidades, y el número de posiciones es fijo, entonces el número total de configuraciones posibles crece de manera explosiva. No necesitamos todavía formalizar esto con notación matemática para intuirlo. Basta con reconocer que:
- si una posición puede contener varias opciones,
- y hay muchas posiciones,
- entonces el número de combinaciones posibles es inmenso.
La página, en su quietud tipográfica, contiene ya una proliferación latente. Este es el punto donde la intuición empieza a desplazarse hacia algo más radical. Estamos acostumbrados a pensar que una página es un contenedor de un texto específico. Que cada página “tiene” un contenido. Pero si adoptamos la perspectiva estructural que hemos venido delineando, esa relación se invierte.
Una página no es, esencialmente, un contenido. Una página es un conjunto de posiciones. Y el contenido es solo una de las muchas formas posibles de ocupar esas posiciones. Esto significa que la página no está definida por lo que dice, sino por lo que permite decir.
La misma estructura tipográfica —las mismas dos columnas, las mismas cuarenta y dos líneas— podría alojar textos completamente distintos. No solo distintos en tema o estilo, sino distintos en todos los niveles: idiomas, signos, secuencias arbitrarias, errores, repeticiones.
La página no privilegia ningún contenido. Es indiferente. Esa indiferencia es, quizás, lo más difícil de asumir.
Porque implica que la página no está orientada hacia el sentido. Está orientada hacia la posibilidad. Desde el punto de vista de la página, no hay diferencia esencial entre:
- una frase perfectamente articulada,
- una sucesión de caracteres sin sentido,
- una mezcla de idiomas,
- una secuencia que parece ruido.
Todas son simplemente ocupaciones distintas de las mismas posiciones. Lo que cambia no es la estructura, sino la configuración.
En este punto, la página de Gutenberg —con toda su carga histórica, religiosa y cultural— puede ser vista bajo una luz distinta. No como el soporte de un texto sagrado, sino como la realización temprana de un principio más general: que el lenguaje puede ser organizado, reproducido y distribuido mediante una estructura discreta y repetible.
La imprenta no solo multiplicó libros. Multiplicó la forma de la página. Y al hacerlo, fijó un modelo en el que la escritura queda subordinada a una arquitectura.
Esa arquitectura —la caja tipográfica— es una forma de discretización: divide el continuo del lenguaje en unidades manipulables.
Caracteres. Espacios. Líneas.
Cada uno con su lugar. Cada uno con su posición.
Si llevamos esta idea hasta sus últimas consecuencias, la página deja de ser un objeto particular y se convierte en una instancia de un espacio más amplio: el espacio de todas las posibles configuraciones de símbolos sobre una estructura fija.
La Biblia de Gutenberg, en ese sentido, no es solo un libro. Es un ejemplo. Un ejemplo de cómo se puede definir una forma tal que cualquier contenido quepa en ella, siempre que respete sus límites. Y esos límites —lejos de ser una restricción empobrecedora— son la condición de una expansión casi inconcebible. Porque una vez que la forma está fijada, lo que se abre no es un único texto, sino un universo de textos posibles.
Pero aún no es necesario nombrar ese universo. Por ahora basta con permanecer en la página. En su medida. En su precisión. En su silencio estructural. Antes de cualquier palabra, antes de cualquier sentido, lo que tenemos es esto: una superficie finita, dividida con rigor, compuesta por un número determinado de posiciones, cada una de las cuales puede ser ocupada por un símbolo. Eso es todo. Y, sin embargo, en esa modestia formal —en esa economía de medios— está contenida ya la posibilidad de todo lo que vendrá.
No porque la página lo diga, sino porque lo permite. No porque lo contenga explícitamente, sino porque establece las condiciones bajo las cuales cualquier contenido puede aparecer. La infinitud, en este punto, no es todavía visible. Pero ya está inscrita. No en el texto, sino en la forma.
II. El alfabeto y la combinatoria
La página ya está definida. Tiene una medida precisa, una distribución que no depende del contenido, una estructura que permanece incluso si borramos cada una de las palabras que alguna vez la habitaron. Dos columnas, cuarenta y dos líneas, una caja tipográfica estable. Esa forma no dice nada por sí misma, pero establece las condiciones bajo las cuales cualquier cosa puede ser dicha. Lo que aparece ahora no es una variación de esa forma, sino una segunda decisión, más discreta y más radical: qué puede ocupar cada una de esas posiciones.
Esa decisión se resuelve en un conjunto finito de símbolos. No se trata solamente de letras, sino del repertorio completo con el que una lengua —o varias— se escriben: letras, espacios, signos de puntuación, números, variaciones gráficas. Ese conjunto puede ampliarse o restringirse, pero en cualquier caso permanece finito. Hay un número determinado de signos disponibles. Podemos llamarlo kkk, no como una abstracción excesiva, sino como una forma de nombrar algo concreto: la cantidad de símbolos con los que es posible construir cualquier texto dentro de ese sistema.
Una vez fijado ese alfabeto, cada posición de la página deja de ser simplemente un lugar vacío y se convierte en un punto de elección. Cada posición puede ser ocupada por uno de esos kkk símbolos. No hay jerarquías entre ellos en este nivel; ninguna posición “prefiere” una letra sobre otra. La página, en su estructura, es indiferente al contenido. Si la página tiene NNN posiciones —y sabemos que las tiene, porque su forma ha sido determinada de antemano— entonces escribir consiste, en su forma más elemental, en elegir un símbolo entre kkk opciones, repetir esa operación NNN veces y detenerse exactamente cuando la estructura se llena.
En ese gesto, que podría parecer trivial, se condensa una transformación profunda. Escribir deja de ser únicamente la producción de significado y se vuelve también la ocupación de un espacio finito mediante una secuencia de decisiones discretas. Cada carácter que aparece en la página no es simplemente un signo: es la resolución de una elección dentro de un conjunto limitado. Y la página completa no es otra cosa que la acumulación ordenada de esas elecciones.
A partir de aquí, la consecuencia se vuelve inevitable. Si cada una de las NNN posiciones puede tomar uno de kkk valores, entonces el número total de páginas posibles es kNk^NkN. No hay nada misterioso en esta expresión. Es el resultado directo de contar todas las combinaciones posibles de símbolos en una estructura fija. Sin embargo, la simplicidad de la fórmula contrasta con la magnitud de lo que describe. Porque ese número no representa una colección que podamos recorrer ni siquiera en principio; representa un espacio que crece a una velocidad que desborda cualquier escala humana, pero que se origina en dos decisiones extremadamente sobrias: un alfabeto finito y una página de tamaño fijo.
Este desplazamiento obliga a revisar lo que entendemos por texto. Estamos acostumbrados a pensar que una página contiene un contenido específico, que cada página es el soporte de un texto determinado. Pero desde el punto de vista que estamos construyendo, esa relación se invierte. Una página no está definida por lo que dice, sino por el conjunto de posiciones que ofrece. El contenido es solo una de las muchas configuraciones posibles dentro de esa estructura. No hay nada en la forma de la página que privilegie una configuración sobre otra. Una frase coherente, un poema, una tabla de números o una secuencia aparentemente arbitraria de caracteres ocupan exactamente el mismo tipo de espacio.
Esto significa que la diferencia entre lo que reconocemos como lenguaje y lo que descartamos como ruido no está en la estructura de la página, sino en la forma específica en que los símbolos se distribuyen dentro de ella. La página no distingue entre ambas cosas. Desde el punto de vista de la combinatoria, todas las configuraciones son equivalentes. Algunas nos resultan legibles porque coinciden con patrones que reconocemos; otras no. Pero esa distinción no está inscrita en la estructura, sino en nuestra forma de leer.
A partir de este punto, se puede formular una afirmación que, fuera de este contexto, parecería excesiva, pero que aquí es simplemente una consecuencia lógica: dentro del conjunto de todas las páginas posibles están contenidas todas las páginas que han sido escritas, todas las que podrían escribirse y todas sus variaciones, incluyendo aquellas que difieren por un solo carácter, por un error tipográfico o por una mínima alteración. No porque alguien las haya producido, sino porque la estructura combinatoria las incluye sin excepción. Cada una de esas páginas corresponde a una secuencia posible de elecciones dentro de un sistema finito.
Lo que emerge entonces no es una biblioteca material, sino un espacio de posibilidades completamente determinado. No es necesario producir cada uno de esos textos para que “existan” en este sentido. Basta con reconocer que la definición del alfabeto y la fijación de la longitud de la página son suficientes para que ese conjunto esté completamente especificado. En este punto, escribir deja de ser la condición de existencia de un texto y se convierte en la manera de acceder a una configuración particular dentro de un espacio que ya está definido.
Este cambio no elimina la singularidad de los textos que leemos ni reduce su valor. Lo que hace es desplazar el problema. Si todas las páginas posibles están contenidas en ese espacio, entonces la cuestión ya no es cómo producirlas, sino cómo distinguir entre ellas. Cómo reconocer aquellas que, para nosotros, tienen sentido. Pero esa pregunta pertenece a una etapa posterior. Por ahora, lo que importa es sostener la consecuencia central: una vez que el espacio es fijo y el alfabeto es finito, todo lo escribible queda determinado.
Podemos hacer este argumento aún más concreto. Tomemos cualquier página posible y asignémosle un número. Ese número, escrito en una base cuyo tamaño sea exactamente kkk, puede interpretarse como una secuencia de “dígitos”, donde cada dígito corresponde a uno de los símbolos del alfabeto. De este modo, un número se convierte en una página. Y, de manera inversa, cada página puede ser representada por un número. La correspondencia es exacta: no hay páginas que queden fuera ni números que no correspondan a alguna configuración válida.
En ese momento, la escritura se aproxima a la aritmética de una forma inesperada. La diferencia entre calcular y escribir se vuelve menos nítida. Una página ya no es únicamente algo que se compone con palabras, sino algo que puede ser generado a partir de una regla de representación. No porque el lenguaje se reduzca a números, sino porque ambos comparten una estructura común: la posibilidad de ser descompuestos en unidades discretas y recombinados de acuerdo con reglas finitas.
Con esto, el paso de lo material a lo matemático queda completo. Partimos de una página medida, de una forma estable heredada de la imprenta, y llegamos a un espacio definido por dos parámetros: el tamaño del alfabeto y el número de posiciones disponibles. Entre esos dos límites —kkk y NNN— queda contenido todo lo que puede ser escrito en ese sistema. No hay necesidad de añadir nada más.
Y, sin embargo, en esa economía formal comienza a insinuarse algo que excede el cálculo mismo. Porque aceptar que todas las páginas posibles están contenidas en ese espacio implica aceptar también que cualquier texto que podamos concebir —cualquier libro, cualquier lengua, cualquier variación— ya tiene un lugar en él. No como una excepción, sino como una consecuencia directa de la estructura. La precisión de la cuenta permanece intacta; lo que cambia es la escala de lo que esa cuenta describe.
III. La biblioteca que no se almacena
Hasta aquí hemos construido una idea que, aunque exigente, todavía se mantiene dentro de una lógica reconocible: una página con una forma fija, un alfabeto finito y, como consecuencia, un espacio completamente determinado de páginas posibles. Esa construcción, sin embargo, todavía puede ser malinterpretada si se piensa en términos materiales. Porque en el momento en que se acepta que todas las páginas posibles están definidas por la combinatoria, surge una pregunta inevitable: ¿dónde están?
La respuesta inmediata tiende a buscar un lugar. Una biblioteca, al menos en su forma más intuitiva, es un espacio que contiene libros. Un edificio, una serie de estanterías, una acumulación progresiva de volúmenes. Bajo ese modelo, pensar en todas las páginas posibles implicaría imaginar una expansión sin límite, una acumulación que no podría ser contenida en ningún soporte físico. Pero ese es precisamente el punto en el que la intuición debe corregirse. La biblioteca que se deriva de la construcción anterior no necesita existir como almacenamiento. No depende de la acumulación de objetos, sino de la definición de una regla.
Lo que hemos definido hasta ahora no es una colección, sino un espacio de posibilidades completamente especificado. Cada página posible está determinada por una combinación de símbolos en una estructura fija. En ese sentido, no hace falta que cada una de esas páginas haya sido escrita, impresa o guardada para que tenga un estatuto preciso dentro del sistema. Basta con que exista un procedimiento que permita generarla. Ese desplazamiento —de la existencia material a la generabilidad— es el que permite formular una idea distinta de biblioteca: no como un lugar donde se conservan libros, sino como un sistema que puede producirlos.
El paso hacia ese sistema se vuelve claro en cuanto se introduce una correspondencia entre páginas y números. Si cada página es una secuencia de símbolos tomada de un alfabeto finito, entonces puede ser representada como una secuencia de valores discretos. Y toda secuencia de valores discretos puede ser interpretada como un número en una base adecuada. Si el alfabeto tiene kkk símbolos, entonces cada página puede ser vista como la representación en base kkk de un número. Esta equivalencia no es una analogía vaga, sino una transformación exacta: cada número produce una única página y cada página corresponde a un único número.
A partir de esta correspondencia, el problema de la biblioteca cambia de naturaleza. Ya no es necesario almacenar páginas, porque cada una puede ser reconstruida a partir de su índice. Dado un número, basta con escribirlo en base kkk, interpretar cada dígito como un símbolo del alfabeto y distribuir esa secuencia sobre la estructura fija de la página. El resultado es una página completamente determinada. No ha sido recuperada de un archivo ni extraída de un volumen físico; ha sido generada a partir de una regla. La biblioteca, en este sentido, no es un conjunto de objetos, sino una función que transforma índices en páginas.
Esta formulación tiene una consecuencia importante: elimina la dependencia del espacio físico sin perder precisión. Una biblioteca tradicional está limitada por su capacidad de almacenamiento. Siempre hay libros que no están, páginas que no han sido incorporadas, textos que permanecen fuera. En cambio, una biblioteca definida como función no tiene un “afuera” en ese sentido. No porque contenga físicamente todas las páginas posibles, sino porque puede producir cualquiera de ellas si se le proporciona la dirección adecuada. Su totalidad no es material, sino operativa.
Esto permite entender con mayor claridad la idea de que una biblioteca puede “contener” más de lo que almacena. En este caso, la contención no implica presencia física, sino disponibilidad estructural. Una página pertenece a la biblioteca no porque esté guardada en algún lugar, sino porque existe un procedimiento que la genera de manera unívoca. La biblioteca no crece ni se expande con el tiempo; está completamente definida desde el momento en que se fijan el alfabeto, la estructura de la página y la regla de correspondencia entre números y secuencias.
En este punto, la relación con la escritura se modifica de manera sutil pero decisiva. Si antes habíamos entendido escribir como la construcción de una secuencia de símbolos dentro de una estructura dada, ahora aparece una formulación alternativa: escribir puede entenderse como la identificación del índice que corresponde a una página determinada. Esto no elimina el proceso de composición, pero introduce una capa adicional. La página no solo puede ser producida carácter por carácter; también puede ser obtenida como resultado de una operación sobre un número.
La equivalencia entre número y texto permite, además, invertir el proceso. Así como es posible generar una página a partir de un índice, también es posible, dado un texto, calcular el número que lo representa. Esto significa que cada página tiene una dirección precisa dentro del sistema. No una ubicación física, sino una posición en un espacio abstracto completamente ordenado. La biblioteca no es entonces un lugar que se recorre, sino una estructura en la que cada elemento puede ser localizado mediante una operación bien definida.
Este cambio tiene implicaciones importantes para la manera en que pensamos la existencia de los textos. En una biblioteca material, un libro existe en la medida en que ha sido producido y almacenado. Aquí, en cambio, un texto tiene un estatuto más amplio: existe en la medida en que puede ser generado a partir de la regla. No es necesario que haya sido escrito en el sentido habitual. Basta con que su configuración sea compatible con la estructura definida. En ese sentido, cualquier texto posible tiene ya una dirección, aunque nunca haya sido leído o incluso imaginado.
A partir de aquí, la idea de biblioteca deja de estar asociada a un espacio y pasa a estar asociada a una operación. La pregunta “¿dónde está esta página?” pierde su referencia espacial y se convierte en una pregunta sobre cómo calcular su índice. No se trata de encontrar un volumen en una estantería, sino de aplicar una transformación que produce la secuencia deseada. La biblioteca no se recorre; se ejecuta.
Esta formulación no elimina la dificultad, sino que la desplaza. El hecho de que cualquier página pueda ser generada no implica que sepamos cómo encontrar las que nos interesan. El espacio definido por kNk^NkN sigue siendo inabarcable en términos prácticos. Pero lo que cambia es la naturaleza del problema. Ya no se trata de cómo almacenar o producir textos, sino de cómo navegar un espacio completamente determinado. La biblioteca está definida en su totalidad, pero su accesibilidad no está garantizada.
Lo esencial, sin embargo, puede formularse con claridad. Una biblioteca no necesita existir como acumulación de libros para contenerlos en un sentido riguroso. Basta con que exista una regla que establezca una correspondencia exacta entre direcciones y páginas. Esa regla convierte la biblioteca en una función. Y en ese momento, la idea misma de biblioteca se desplaza: deja de ser un lugar donde se guardan textos y se convierte en un procedimiento que los genera.
IV. El problema del sentido
Hasta este punto, la construcción parece avanzar con una claridad casi tranquilizadora. Hemos definido una página con una estructura fija, un alfabeto finito y una regla que permite generar cualquier combinación posible de símbolos. La biblioteca, entendida como función, queda completamente determinada. No hay ambigüedad en sus elementos ni en el modo de producirlos. Todo lo escribible está contenido en ese espacio.
Pero es precisamente aquí donde aparece la dificultad. Porque si ese espacio contiene todas las páginas posibles, entonces contiene también algo más: una proporción abrumadora de páginas que no parecen decir nada.
No se trata de una intuición vaga. Es una consecuencia directa de la combinatoria. Entre todas las configuraciones posibles de símbolos, aquellas que reconocemos como lenguaje —aquellas que forman palabras, frases, argumentos— son extremadamente escasas. No porque el lenguaje sea débil, sino porque el espacio de todas las combinaciones posibles es desproporcionadamente grande en comparación con el subconjunto que tiene estructura reconocible.
Dicho de otro modo, dentro del conjunto de todas las páginas posibles, la mayoría no son libros en ningún sentido que nos resulte familiar. Son secuencias de caracteres que no siguen patrones lingüísticos, que no sostienen continuidad, que no permiten ser leídas como discurso. La biblioteca contiene todo, pero ese “todo” no está distribuido de manera equilibrada. Lo legible es una excepción.
Esto introduce una primera forma de incomodidad. Hasta ahora, la idea de que todos los libros están contenidos en la combinatoria podía leerse como una expansión: una afirmación de plenitud. Pero esa misma afirmación implica su reverso. Si todo está contenido, entonces lo que nos interesa —los textos que podemos leer, interpretar, discutir— ocupa una fracción mínima del espacio total.
Esa fracción no es simplemente pequeña. En términos más precisos, tiende a desaparecer a medida que la longitud de la página aumenta. Si imaginamos páginas cada vez más largas, la proporción de aquellas que mantienen coherencia lingüística se vuelve cada vez menor en relación con el total de combinaciones posibles. El espacio de lo legible no desaparece, pero queda diluido en una extensión donde el ruido domina.
Aquí aparece una noción que conviene introducir con cuidado: la de entropía. No en su formulación técnica más estricta, sino como una manera de describir la distribución de las configuraciones posibles. Una secuencia completamente aleatoria de símbolos tiende a tener alta entropía: no presenta patrones claros, no se repite de manera estructurada, no permite compresión significativa. En cambio, un texto que reconocemos como lenguaje tiene, en cierto sentido, menos entropía: contiene regularidades, redundancias, estructuras que lo hacen interpretable.
La mayoría de las páginas posibles, generadas sin restricción adicional, se parecen más a las primeras que a las segundas. No porque haya algo “incorrecto” en ellas, sino porque no están organizadas de acuerdo con los patrones que asociamos al lenguaje humano. Desde el punto de vista de la biblioteca, ambas son igualmente válidas. Desde el punto de vista de la lectura, no lo son.
Esto permite formular con mayor precisión el problema que emerge. Si la biblioteca puede generar cualquier página, entonces la dificultad principal ya no es la producción. No hay que escribir los libros; no hay que almacenarlos; no hay que ampliarlos. Todo eso queda resuelto por la definición misma del sistema.
El problema es otro. No es generar libros. Es encontrarlos.
Encontrar, dentro de un espacio descomunal de combinaciones posibles, aquellas páginas que cumplen con ciertas condiciones de legibilidad, coherencia o relevancia. Encontrar no solo una secuencia que tenga sentido, sino una que tenga el tipo de sentido que buscamos. Porque incluso dentro del conjunto de textos legibles, la diversidad es inmensa: distintos idiomas, distintos registros, distintas estructuras.
La biblioteca, en sí misma, no ofrece ninguna guía para esa búsqueda. Es completamente indiferente a la diferencia entre sentido y ruido. Desde su punto de vista, ambas son configuraciones igualmente válidas. La distinción emerge únicamente cuando alguien intenta leer.
Aquí se produce un desplazamiento decisivo. El sentido deja de ser una propiedad intrínseca de la página y pasa a depender de la interacción con un lector o con un sistema de interpretación. La biblioteca contiene todas las secuencias posibles, pero no clasifica, no prioriza, no distingue. Esa tarea no le corresponde.
En este sentido, el problema contemporáneo no es ampliar la biblioteca ni perfeccionar su capacidad de generación. Esa capacidad ya es total en el marco que hemos definido. El problema es construir mecanismos que permitan orientarse dentro de ella, identificar regiones de interés, distinguir patrones que correspondan a estructuras significativas.
Esto implica reconocer que el sentido no está “dado” en la biblioteca de manera inmediata. Está distribuido de forma extremadamente dispersa y requiere ser recuperado mediante algún tipo de filtro. Ese filtro puede ser humano —la lectura, la interpretación, el reconocimiento de patrones— o puede ser algorítmico —modelos que estiman probabilidad lingüística, compresibilidad, coherencia. En ambos casos, lo que se intenta es reducir la entropía aparente, aislar configuraciones que no sean simplemente ruido.
La consecuencia de este desplazamiento puede formularse de manera directa. La infinitud de la biblioteca, en sí misma, no es el problema. Desde el punto de vista formal, es incluso trivial: se sigue de una construcción combinatoria simple. Lo que introduce dificultad es la relación entre esa infinitud y nuestra capacidad de encontrar sentido dentro de ella.
La infinitud es trivial. La lectura es el problema.
Esta afirmación no busca restar importancia a la construcción anterior, sino situarla en su lugar adecuado. Definir un espacio que contiene todas las páginas posibles es un paso necesario, pero no suficiente para entender qué significa habitar ese espacio. La experiencia de la biblioteca no se define por su totalidad, sino por las trayectorias que pueden trazarse dentro de ella.
Y esas trayectorias no están dadas por la estructura combinatoria. Deben ser construidas.
En este punto, la biblioteca deja de ser únicamente un objeto matemático o una función bien definida y comienza a plantear una cuestión más amplia: cómo se produce el sentido cuando todo es posible. No porque el sentido haya desaparecido, sino porque ha quedado sumergido en un entorno donde no hay, a priori, ninguna distinción entre lo que importa y lo que no.
La crisis no está en la falta de textos, sino en su exceso. No en la imposibilidad de escribir, sino en la imposibilidad de discriminar. Y esa crisis no se resuelve ampliando la biblioteca, sino introduciendo criterios que permitan orientarse en ella. A partir de aquí, la pregunta ya no es qué contiene la biblioteca, sino cómo se lee.
V. La página total
Si aceptamos todas las premisas anteriores —la forma fija de la página, el alfabeto finito, la correspondencia entre números y textos, la posibilidad de generar cualquier página mediante una regla— entonces la conclusión ya no requiere un nuevo salto conceptual. Requiere, más bien, sostener con rigor lo que esas premisas implican. Cada página posible tiene una dirección.
No en el sentido de una ubicación física, sino en el sentido preciso de una posición dentro de un sistema completamente determinado. Una página no está “en algún lugar” esperando ser encontrada; está definida por una secuencia de símbolos que puede ser traducida, sin ambigüedad, a un número. Ese número es su índice. Y ese índice es suficiente para reconstruirla.
Esto significa que cualquier texto que pueda ser escrito —cualquier secuencia finita de símbolos pertenecientes al alfabeto— corresponde a una página específica dentro de la biblioteca. No como una aproximación, no como una posibilidad difusa, sino como una equivalencia exacta.
- Dado un texto, existe un número.
- Dado ese número, existe una página.
- Dada esa página, existe una forma tipográfica concreta que lo contiene.
La relación no admite excepciones.
Este punto puede formularse de manera más directa. Si alguien escribe un texto —una frase, un párrafo, un libro entero— ese texto no introduce algo nuevo en el espacio de las posibilidades. Introduce, en todo caso, una identificación. Señala una configuración particular dentro de un conjunto que ya estaba definido.
El acto de escribir no crea la página en un sentido estructural. La selecciona.
Esto no significa que la escritura pierda su valor, sino que su naturaleza cambia. Ya no puede entenderse únicamente como producción, sino también como localización. Cada texto que aparece puede ser visto como la realización de una secuencia que, desde el punto de vista de la combinatoria, ya tenía un lugar.
Podemos llevar esta idea un paso más allá sin abandonar el rigor. Este ensayo, por ejemplo, no es una excepción. La secuencia de caracteres que lo compone —cada letra, cada espacio, cada signo— puede ser traducida a una serie de valores discretos. Esa serie puede ser interpretada como un número en una base cuyo tamaño es el del alfabeto. Ese número define una página.
No hay nada en este texto que lo sitúe fuera del sistema. Su estructura es completamente compatible con las reglas que hemos fijado. Por lo tanto, tiene una dirección.
Lo mismo ocurre con cualquier variación de este texto. Una versión corregida, en la que una palabra cambia de lugar o se ajusta una puntuación, corresponde a una secuencia distinta y, por lo tanto, a un número distinto. Un error tipográfico introduce una desviación mínima en la secuencia, pero suficiente para producir una nueva página con su propio índice. Cada una de esas variaciones tiene una posición definida dentro de la biblioteca.
No hay ambigüedad en esta proliferación. Cada versión es única, no porque haya sido escrita en momentos distintos, sino porque ocupa una configuración distinta dentro del espacio combinatorio.
La consecuencia de esto se vuelve más exigente cuando se consideran textos que aún no han sido escritos. Una traducción futura de este ensayo —a una lengua que aún no ha sido formulada o que todavía no ha alcanzado una forma estable— también corresponde a una secuencia de símbolos. Incluso si esa lengua no existe hoy, en el momento en que sus signos puedan ser definidos como parte de un alfabeto finito, sus textos quedan incluidos en el mismo tipo de construcción. No es necesario que la lengua esté presente en el uso para que sus combinaciones posibles estén determinadas.
Esto no implica que el sistema “contenga” lenguas en el sentido cultural o histórico, sino que cualquier sistema de escritura que pueda formalizarse como un conjunto finito de símbolos distribuidos en una estructura fija queda incluido en el espacio de posibilidades. La biblioteca no distingue entre lenguas actuales y lenguas futuras. Desde su punto de vista, ambas son configuraciones válidas.
De este modo, no solo los textos que conocemos, sino también aquellos que aún no han sido concebidos, tienen ya una posición definida.
Este reconocimiento introduce una forma particular de tensión. Por un lado, la construcción es completamente precisa. No depende de metáforas ni de intuiciones vagas. Se sostiene en una correspondencia exacta entre números y secuencias. Por otro lado, las implicaciones de esa correspondencia desbordan la manera habitual en que pensamos la escritura.
Estamos acostumbrados a considerar que un texto existe cuando es producido, cuando alguien lo escribe o lo pronuncia. Aquí, en cambio, la existencia se define de otra manera. Un texto existe en la medida en que su configuración es compatible con el sistema. No es necesario que haya sido realizado en el mundo para que tenga una posición en la biblioteca.
Esto no elimina la dimensión temporal de la escritura —los procesos de composición, revisión, publicación— pero la sitúa sobre una base distinta. Esos procesos no crean el espacio de las páginas posibles; operan dentro de él.
En este punto, la biblioteca puede ser descrita con una precisión que ya no depende de imágenes espaciales. No es un edificio, ni una red de salas, ni una acumulación de volúmenes. Es una función que establece una correspondencia entre direcciones y páginas. Cada dirección produce una secuencia de símbolos organizada en una estructura fija. Cada secuencia corresponde a una página.
La totalidad de la biblioteca no se manifiesta como una colección visible, sino como una propiedad del sistema: no hay página que quede fuera de la correspondencia.
Esto permite reformular una idea que, en otros términos, podría parecer excesiva. Todos los libros ya existen, en el sentido de que todas las páginas posibles están definidas por la estructura. No como objetos materiales, sino como configuraciones accesibles mediante una regla.
El énfasis aquí debe mantenerse en la precisión de la afirmación. No se trata de una intuición vaga sobre la abundancia del lenguaje. Se trata de una consecuencia directa de la combinatoria y de la equivalencia entre números y secuencias.
Sin embargo, esta conclusión no debe confundirse con una afirmación de disponibilidad inmediata. El hecho de que cada página tenga una dirección no implica que sepamos cómo llegar a ella. El espacio de índices sigue siendo inabarcable en términos prácticos. La biblioteca está completamente definida, pero no está completamente accesible.
Esto introduce una diferencia importante entre existencia y localización. Un texto puede tener una posición precisa dentro del sistema y, sin embargo, permanecer fuera de nuestro alcance. La dificultad no está en que el texto no exista, sino en que no disponemos de un método general para encontrarlo sin recorrer un espacio inmenso.
Esta diferencia preserva el papel de la escritura como práctica. Aunque cada página tenga un índice, el acto de escribir sigue siendo una manera de producir textos que pueden ser leídos, compartidos y discutidos sin necesidad de calcular su dirección. La biblioteca define el espacio; la escritura traza recorridos dentro de él.
Aun así, la formulación final permanece. Cada texto tiene una dirección. Cada página tiene un índice. Cada libro corresponde a una secuencia que puede ser reconstruida. No hay textos fuera del sistema.
Y esto permite, finalmente, enunciar la idea central sin añadir nada que no haya sido ya establecido: no escribimos libros en el sentido de crear desde la nada. Navegamos un espacio en el que todos los libros posibles están definidos, y en ese recorrido identificamos algunas configuraciones como significativas.
Escribir, entonces, puede entenderse como el acto de encontrar una página en la que la distribución de símbolos coincide, por un momento, con una forma de sentido que reconocemos. No porque el sentido esté garantizado por la estructura, sino porque, dentro de esa estructura, ciertas configuraciones permiten que el lenguaje aparezca como algo más que una secuencia.
Ese “más” no pertenece a la biblioteca. Pertenece a la lectura. Pero la página —la página total, con todas sus combinaciones posibles— hace que ese encuentro sea, al menos, inevitable en principio. No porque todo tenga sentido, sino porque el sentido, cuando aparece, no está fuera del sistema.
1. Alfabeto
Sea Σ\SigmaΣ un alfabeto finito:
Σ={s0,s1,s2,…,sk−1
donde:
- Σ es el conjunto de símbolos disponibles,
- k=∣Σ∣ es el tamaño del alfabeto.
Ejemplo:
Σ={espacio, A, B, C, …,Z, 0, 1, 2, …, 9, .,,,;,:,?,!}
2. Forma de la página
Definimos:
- C: número de columnas,
- L: número de líneas por columna,
- R: número de caracteres por línea.
Entonces, el número total de posiciones de una página es:
N=C⋅L⋅R
Si tomamos una interpretación tipo Gutenberg:
C=2, L=42, R=36
entonces:
N = 2 ⋅ 42 ⋅ 36 = 3024
3. Espacio de todas las páginas posibles
Cada posición puede contener uno de los kkk símbolos del alfabeto. Por tanto, el número total de páginas posibles es:
∣ΣN∣=kN
Esta expresión contiene todas las páginas posibles de longitud fija N.
4. Página como secuencia
Una página puede describirse como una secuencia de longitud NNN:
x=(x0,x1,x2,…,xN−1), xi ∈ Σ
Es decir, cada página es una función:
x:{0,1,…,N−1}→Σ
5. Correspondencia símbolo–índice
Definimos una función de codificación:
ϕ:Σ→{0,1,…,k−1}
que asigna a cada símbolo un número.
Por ejemplo:
Φ (espacio) = 0, ϕ(A) = 1, ϕ(B) = 2,…
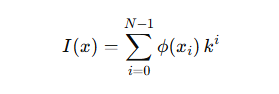
6. Texto a número
Dada una página
x=(x0,x1,…,xN−1)
su índice numérico puede definirse como:

Esta es la expansión de la página en base k.
7. Número a texto
Dado un entero nnn, su página asociada se obtiene expandiéndolo en base kkk:

con
di ∈ {0,1,…, k−1}
y luego recuperando cada símbolo mediante la inversa de ϕ:
xi = ϕ−1(di)
Así, el número n produce una página única.
8. Dirección bibliográfica
Definimos una dirección como una tupla discreta:
a=(h, w, s, v, p)
donde, por ejemplo:
- h: sala o hexágono,
- w: muro,
- s: anaquel,
- v: volumen,
- p: página.
Luego definimos una función de direccionamiento:
D : A → N
que convierte cada dirección en un índice natural.
Una forma simple es una codificación posicional:
D(h,w,s,v,p) = p+P(v+V(s+S(w+Wh)))
donde P, V, S, W son bases elegidas para cada nivel.
9. Página total
La biblioteca queda definida por la composición:
B(a)=ϕ−1(digitsk(D(a)))
o, de modo más legible:
B(a)=G(D(a))
donde:
- D(a) transforma dirección en número,
- G(n) transforma número en página.
10. Maquetación tipográfica
La secuencia lineal x debe distribuirse en columnas y líneas. Definimos:
F : ΣN → ΣC×L×R
tal que:
F(x)c,ℓ,r = xcLR+ℓR+r
con:
- c∈{0,…,C−1},
- ℓ∈{0,…,L−1},
- r∈{0,…,R−1}.
Así, la página ya no es solo una secuencia, sino una disposición visual.
11. Tesis formal
La página total puede formularse así: